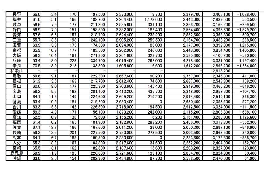
職場の人間関係が面倒! そんな人にとって、一匹狼の「タクシードライバー」は理想的な仕事なのだろうか? 現在の「竹ノ塚駅」周辺の地図(画像:国土地理院) 1985年頃に撮影された「竹ノ塚駅」周辺の航空写真(画像:国土地理院) 1990年頃に撮影された「竹ノ塚駅」周辺の航空写真(画像:国土地理院) 現在の「竹ノ塚駅」周辺の航空写真(画像:国土地理院) 1947年頃に撮影された「竹ノ塚駅」周辺の航空写真(画像:国土地理院) 1963年頃に撮影された「竹ノ塚駅」周辺の航空写真(画像:国土地理院) 1975年頃に撮影された「竹ノ塚駅」周辺の航空写真(画像:国土地理院) 1980年頃に撮影された「竹ノ塚駅」周辺の航空写真(画像:国土地理院) 現在の「竹ノ塚駅」周辺の地形(画像:国土地理院) 明治初期の「竹ノ塚駅」周辺の地図(画像:国土地理院) 1920年頃に撮影された「竹ノ塚駅」周辺の地図(画像:国土地理院) 1930年頃に撮影された「竹ノ塚駅」周辺の地図(画像:国土地理院) 令和2年、タクシー運転者の賃金・労働時間(画像:全国ハイヤー・タクシー連合会) 令和2年、タクシー運転者の賃金・労働時間(画像:全国ハイヤー・タクシー連合会) 令和2年、タクシー運転者と全産業労働者の年齢階級別給与比較(画像:全国ハイヤー・タクシー連合会) 令和2年、年齢階級別月間給与の比較(画像:全国ハイヤー・タクシー連合会) タクシー(画像:写真AC) タクシー(画像:写真AC) タクシー(画像:写真AC) タクシー(画像:写真AC) 関連記事 【Amazon ギフト券プレゼント】自動車DXサミットvol.4 見逃し配信中! (PR)アイティメディア/メディア・ヴァーグ もはやタクシーは贅沢品? 最新調査で判明した「10%値上げ」の残酷リアル――「理解できる」「でも利用しない」が同時に成立する現実とは 東京は時代遅れなのか?――ニューヨーク「8万台」が突きつけるライドシェアの圧力、タクシー王国・日本が「利便性」の波を拒む一線の正体 バイドゥの自動運転タクシー最大500台停止、「技術未熟」論は的外れか?――背景に制度・運用要因 グーグルが隠した「無人タクシーの正体」――車は本当に“自律”していたのか? 事故が暴いた遠隔支援と統治の空白 この画像の記事を読む