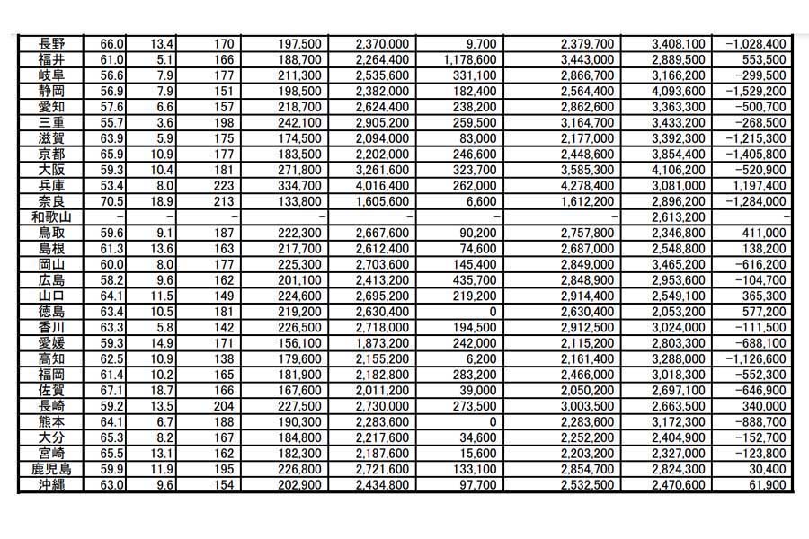
「運転しかできないくせに」 タクシードライバーを平気で“職業差別”する人たちに欠けた現状認識力、彼らはエッセンシャルワーカーである 令和2年、タクシー運転者の賃金・労働時間(画像:全国ハイヤー・タクシー連合会) 令和2年、タクシー運転者の賃金・労働時間(画像:全国ハイヤー・タクシー連合会) 令和2年、タクシー運転者と全産業労働者の年齢階級別給与比較(画像:全国ハイヤー・タクシー連合会) 令和2年、年齢階級別月間給与の比較(画像:全国ハイヤー・タクシー連合会) タクシー(画像:写真AC) タクシー(画像:写真AC) タクシー(画像:写真AC) タクシー(画像:写真AC) タクシー(画像:写真AC) タクシー(画像:写真AC) タクシー(画像:写真AC) 関連記事 【Amazon ギフト券プレゼント】自動車DXサミットvol.4 見逃し配信中! (PR)アイティメディア/メディア・ヴァーグ 東京は時代遅れなのか?――ニューヨーク「8万台」が突きつけるライドシェアの圧力、タクシー王国・日本が「利便性」の波を拒む一線の正体 バイドゥの自動運転タクシー最大500台停止、「技術未熟」論は的外れか?――背景に制度・運用要因 グーグルが隠した「無人タクシーの正体」――車は本当に“自律”していたのか? 事故が暴いた遠隔支援と統治の空白 「客はいる、仕事もある。でも会社が潰れる」――「タクシー廃業」が急増、102社退出を招いた“需要と利益の断絶”とは この画像の記事を読む