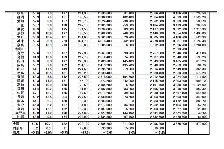
要介護認定700万人超え間近も 「介護・福祉タクシー」の利用を阻む高すぎるハードルの正体 タクシー運転者賃金・労働時間の現況。令和2年・賃金構造基本統計調査より(画像:厚生労働省) タクシー運転者賃金・労働時間の現況。令和2年・賃金構造基本統計調査より(画像:厚生労働省) タクシー運転者賃金・労働時間の現況。令和2年・賃金構造基本統計調査より(画像:厚生労働省) タクシー運転者賃金・労働時間の現況。令和2年・賃金構造基本統計調査より(画像:厚生労働省) タクシー運転者賃金・労働時間の現況。令和2年・賃金構造基本統計調査より(画像:厚生労働省) 介護・福祉タクシー(画像:櫻庭由紀子) 独居老人のイメージ(画像:写真AC) 介護・福祉タクシー(画像:櫻庭由紀子) 介護・福祉タクシー(画像:櫻庭由紀子) 介護・福祉タクシー(画像:櫻庭由紀子) 「地域のくらしを創るサステイナブルな交通の実現」(画像:国土交通省) 関連記事 【Amazon ギフト券プレゼント】自動車DXサミットvol.4 見逃し配信中! (PR)アイティメディア/メディア・ヴァーグ 東京は時代遅れなのか?――ニューヨーク「8万台」が突きつけるライドシェアの圧力、タクシー王国・日本が「利便性」の波を拒む一線の正体 バイドゥの自動運転タクシー最大500台停止、「技術未熟」論は的外れか?――背景に制度・運用要因 グーグルが隠した「無人タクシーの正体」――車は本当に“自律”していたのか? 事故が暴いた遠隔支援と統治の空白 「客はいる、仕事もある。でも会社が潰れる」――「タクシー廃業」が急増、102社退出を招いた“需要と利益の断絶”とは この画像の記事を読む