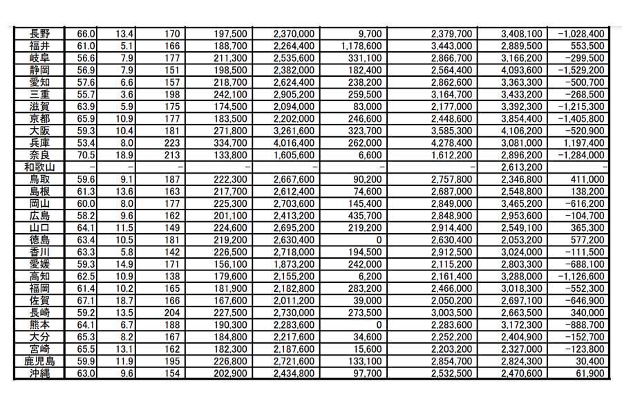
「バス崩壊」は避けられない? 運賃はなぜ値上がったのか? 迫る「2025年の崖」と地方の叫び――コミバス署名、外国人採用、AIダイヤ…生き残りへの最終戦略とは? 2024年問題を振り返る 営業用バス運転者の年収。令和元年厚生労働省「賃金構造基本統計調査」より(画像:厚生労働省) 営業用バス運転者の年収。令和元年厚生労働省「賃金構造基本統計調査」より(画像:厚生労働省) 営業用バス運転者の年収。令和元年厚生労働省「賃金構造基本統計調査」より(画像:厚生労働省) 営業用バス運転者の年収。令和元年厚生労働省「賃金構造基本統計調査」より(画像:厚生労働省) 令和2年、タクシー運転者の賃金・労働時間(画像:全国ハイヤー・タクシー連合会) 令和2年、タクシー運転者の賃金・労働時間(画像:全国ハイヤー・タクシー連合会) 令和2年、タクシー運転者と全産業労働者の年齢階級別給与比較(画像:全国ハイヤー・タクシー連合会) 令和2年、年齢階級別月間給与の比較(画像:全国ハイヤー・タクシー連合会) 路線バス(画像:写真AC) 路線バス(画像:写真AC) 路線バス(画像:写真AC) 路線バス(画像:写真AC) 路線バス(画像:写真AC) 路線バス(画像:写真AC) 路線バス(画像:写真AC) 路線バス(画像:写真AC) 関連記事 【Amazon ギフト券プレゼント】自動車DXサミットvol.4 見逃し配信中! (PR)アイティメディア/メディア・ヴァーグ 日野自・三菱ふそう統合が挑む「いすゞ1強」打破――「7000億円」の売上差にどう向き合うのか? 後ろ盾を失った巨大連合の再出発 「安ければ何でもいい」 モバイルバッテリーの無自覚な利用が「空の安全」を脅かす! 39%が異常後も使い続ける現実、4月24日新ルールで事態は改善するのか 万博EVバス「民事再生」の激震――190台はなぜ“バスの墓場”へ消えたのか? 57億円負債と公共調達の死角 「車がないと暮らせません」 地方移住は本当に幸せなのか? 相談件数7.3万件で過去最多、多くが見落とす“生活を左右する基盤”とは この画像の記事を読む