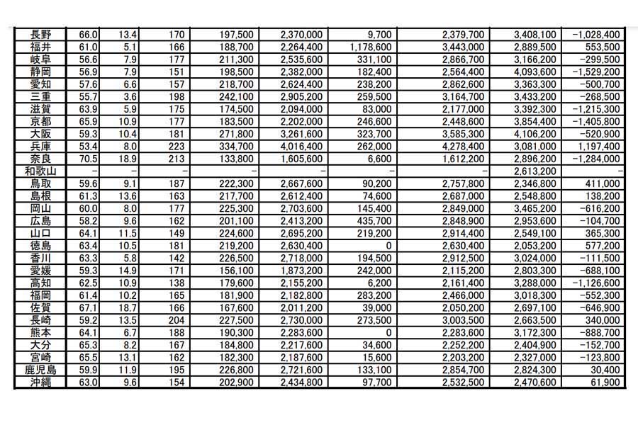
路線バス会社の「96%」が赤字だった! なぜここまで追い込まれた? あなたの街は大丈夫? 低年収、長時間労働…構造不況からの脱却は可能か? 営業用バス運転者の年収。令和元年厚生労働省「賃金構造基本統計調査」より(画像:厚生労働省) 営業用バス運転者の年収。令和元年厚生労働省「賃金構造基本統計調査」より(画像:厚生労働省) 営業用バス運転者の年収。令和元年厚生労働省「賃金構造基本統計調査」より(画像:厚生労働省) 営業用バス運転者の年収。令和元年厚生労働省「賃金構造基本統計調査」より(画像:厚生労働省) 令和2年、タクシー運転者の賃金・労働時間(画像:全国ハイヤー・タクシー連合会) 令和2年、タクシー運転者の賃金・労働時間(画像:全国ハイヤー・タクシー連合会) 令和2年、タクシー運転者と全産業労働者の年齢階級別給与比較(画像:全国ハイヤー・タクシー連合会) 令和2年、年齢階級別月間給与の比較(画像:全国ハイヤー・タクシー連合会) 路線バス(画像:写真AC) 路線バス(画像:写真AC) 路線バス(画像:写真AC) 路線バス(画像:写真AC) 路線バス(画像:写真AC) 路線バス(画像:写真AC) 路線バス(画像:写真AC) 関連記事 【Amazon ギフト券プレゼント】自動車DXサミットvol.4 見逃し配信中! (PR)アイティメディア/メディア・ヴァーグ 「バスが遅すぎる」 NY市長が街路計画を再始動――速度「20%改善」で都市の“時間”は取り戻せるか? 「静岡空港を世界と直結させます」 ANA事実上撤退、どう打開? 3年で11倍成長の決済規格は変化を生めるのか 京都市バスが踏み込む“二重運賃”の聖域――「毎日通うのに400円なのか」 市外通勤者を観光客と同列に扱う“差別”的格差とは ビーグル犬のバスが街を駆ける! 文京区「Bーぐる」で見つけた、区民に愛される“特典プラス”な日常【連載】町バスに乗って(10) この画像の記事を読む