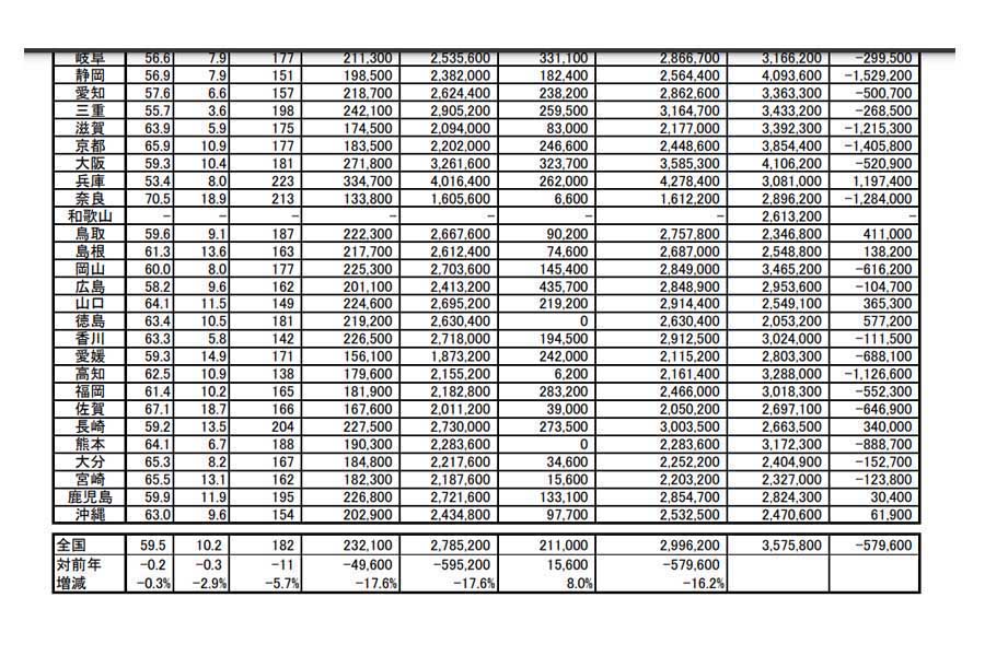
現役タクシードライバーに取材! 「お釣りの小銭」がもし足りなかったら、どうしているのか タクシー運転者賃金・労働時間の現況。令和2年・賃金構造基本統計調査より(画像:厚生労働省) タクシー運転者賃金・労働時間の現況。令和2年・賃金構造基本統計調査より(画像:厚生労働省) タクシー運転者賃金・労働時間の現況。令和2年・賃金構造基本統計調査より(画像:厚生労働省) タクシー運転者賃金・労働時間の現況。令和2年・賃金構造基本統計調査より(画像:厚生労働省) タクシー運転者賃金・労働時間の現況。令和2年・賃金構造基本統計調査より(画像:厚生労働省) タクシー乗車前には、支払いに関して事前確認をしておくと安心(画像:写真AC) タクシーの支払いをする男性(画像:写真AC) キャッシュレス決済をするタクシー(画像:写真AC) 日本交通では、2019年10月に「JapanTaxi」アプリを通じて「事前確定運賃」サービスの提供を開始している(画像:日本交通) この画像の記事を読む