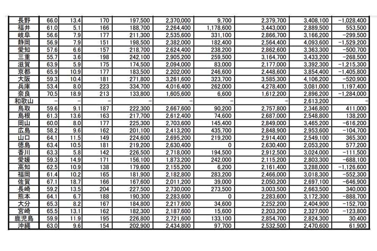
神奈中バス「11路線廃止」の衝撃――日本の中枢に迫る「ドライバー不足」という名の“猛毒” 赤枠の中が相模原市緑区(画像:(C)Google) 営業用バス運転者の年収。令和元年厚生労働省「賃金構造基本統計調査」より(画像:厚生労働省) 営業用バス運転者の年収。令和元年厚生労働省「賃金構造基本統計調査」より(画像:厚生労働省) 営業用バス運転者の年収。令和元年厚生労働省「賃金構造基本統計調査」より(画像:厚生労働省) 営業用バス運転者の年収。令和元年厚生労働省「賃金構造基本統計調査」より(画像:厚生労働省) 令和2年、タクシー運転者の賃金・労働時間(画像:全国ハイヤー・タクシー連合会) 令和2年、タクシー運転者の賃金・労働時間(画像:全国ハイヤー・タクシー連合会) 令和2年、タクシー運転者と全産業労働者の年齢階級別給与比較(画像:全国ハイヤー・タクシー連合会) 令和2年、年齢階級別月間給与の比較(画像:全国ハイヤー・タクシー連合会) 路線バス(画像:写真AC) 路線バス(画像:写真AC) 路線バス(画像:写真AC) 路線バス(画像:写真AC) 路線バス(画像:写真AC) 関連記事 【Amazon ギフト券プレゼント】自動車DXサミットvol.4 見逃し配信中! (PR)アイティメディア/メディア・ヴァーグ 率直に言う 磐越道バス事故を「運転ミスだけの問題」として片付けてはいけない――見落とされた構造要因とは BRTと駅前再編はなぜ噛み合わないのか? バス利用額「全国8位」の都市で進む、歩行者と車社会の分断 「地味な路線」をキャッシュレス化? 新潟の路線バス会社が“平日78便減”でも止まらない根本理由 「赤字1億円は無駄じゃない?」 神奈川の“AIオンデマンドバス終幕”が突きつけた厳しい現実、地域交通再設計への知見は残ったのか この画像の記事を読む