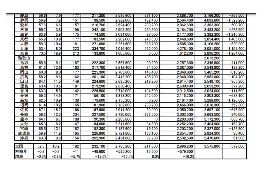
タクシー運転席のドア開き「自転車衝突事故」 あなたはその危険性を知っているか? タクシー運転者賃金・労働時間の現況。令和2年・賃金構造基本統計調査より(画像:厚生労働省) タクシー運転者賃金・労働時間の現況。令和2年・賃金構造基本統計調査より(画像:厚生労働省) タクシー運転者賃金・労働時間の現況。令和2年・賃金構造基本統計調査より(画像:厚生労働省) タクシー運転者賃金・労働時間の現況。令和2年・賃金構造基本統計調査より(画像:厚生労働省) タクシー運転者賃金・労働時間の現況。令和2年・賃金構造基本統計調査より(画像:厚生労働省) タクシー(画像:写真AC) タクシー(画像:写真AC) 2020年の法令違反別(第1当事者)交通死亡事故発生件数。令和3年交通安全白書より(画像:内閣府) タクシー乗り場(画像:写真AC) タクシー(画像:写真AC) ダッチ・リーチ(画像:112Schade) 関連記事 【Amazon ギフト券プレゼント】自動車DXサミットvol.4 見逃し配信中! (PR)アイティメディア/メディア・ヴァーグ もはやタクシーは贅沢品? 最新調査で判明した「10%値上げ」の残酷リアル――「理解できる」「でも利用しない」が同時に成立する現実とは 東京は時代遅れなのか?――ニューヨーク「8万台」が突きつけるライドシェアの圧力、タクシー王国・日本が「利便性」の波を拒む一線の正体 バイドゥの自動運転タクシー最大500台停止、「技術未熟」論は的外れか?――背景に制度・運用要因 グーグルが隠した「無人タクシーの正体」――車は本当に“自律”していたのか? 事故が暴いた遠隔支援と統治の空白 この画像の記事を読む